电话:
0751-2829979
|
邮箱:
3860982411@qq.com
公司首页
公司介绍
公司动态
产品展厅
12
化学试剂
证书荣誉
联系方式
在线留言
公司首页
公司介绍
公司动态
产品展厅
12
化学试剂
证书荣誉
联系方式
在线留言
<
>
您当前的位置:
网站首页
>
产品展厅
>
化学试剂
>
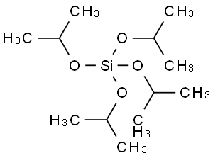
正硅酸四异丙酯| 1992-48-9
正硅酸四异丙酯| 1992-48-9
品牌:
元丰试剂
产地:
广东韶关
型号:
25g100g,500g,1kg,25kg, 及其他包装规格
纯度:
≥98.0%
cas:
1992-48-9
发布日期:
2026-01-29
更新日期:
2026-02-28
发送咨询信息
产品详请
产地
广东韶关
品牌
元丰试剂
货号
用途
生产、研发, 实验, 工业
包装规格
25g100g,500g,1kg,25kg, 及其他包装规格
CAS编号
1992-48-9
纯度
≥98.0%%
是否进口
否
别名
四(1-甲基乙基)硅酸酯;四(异丙基)硅酸酯;正硅酸异丙酯;硅酸异丙酯
英文名
Tetraisopropoxysilane
CAS号
1992-48-9
熔点
分子式
C
12
H
28
O
4
Si
闪点
分子量
264.43
密度
MDL号
相关产品:
二钼酸铵| 27546-07-2 AR
无水三氯化钌 10049-08-8
聚乙烯胺 49553-92-6 分子量6W 分子量40W 100g 500g
硫氮腈酯 酯105 10264-39-8 80%
联系方式
手机:
13346512749
Q Q:
微信扫一扫